Lompat ke konten Lompat ke sidebar Lompat ke footer

Kunci Jawaban Lks Kelas / 28+ Kunci Jawaban Lks Ips Kelas 8 Semester 1 Kurikulum ... : Buku pr lks intan pariwara adalah buku pelajaran yang berisi ringkasan materi.

Pekerjaannya dengan hasil pekerjaan teman untuk membahas jawaban tes kognitif tersebut. Kunci jawaban lks matematika kelas 1 2 3 4 5 6 sd semester genap. Soal pkn kelas 12 dan kunci jawaban. Gemilang archives gudanglks com pusat jual buku lks. Kunci jawaban kimia buku pr intan pariwara kelas 11 semester 2 tahun 2021.

Download kunci jawaban lks intan kelas 10 tahun 2020/2021 sangat di nanti dan dipertanyakan oleh banyak orang terutama para siswa dan siswi. Kunci Jawaban Buku Lks Ips Kelas 7 Kurikulum 2013 Semester 1
Kunci Jawaban Buku Lks Ips Kelas 7 Kurikulum 2013 Semester 1 from id-static.z-dn.net
Kunci jawaban lks ekonomi kelas x intan pariwara js photography. Soal pkn kelas 12 dan kunci jawaban. Kunci jawaban lks ekcellent bahasa inggris kelas xii. Kunci jawaban lks intan pariwara kelas 11 tahun 2020/2021 terbaru sudah rilis. Kunci jawaban lks bahasa indo kelas x. Berikut ini adalah link download kunci jawaban lks intan pariwara kelas 10 semester 2 tahun 2020. Hello gaeesssmohon subscribnyadilink ini tersedia semua kunci jawaban lks intan pariwara :1. Jadi semoga teman teman semua di permudah.

Kunci jawaban lks viva pakarindo matematika kelas berikut ini adalah kunci jawaban lks viva pakarindo matematika kelas yang bisa anda download bila dirasa itu kurang tepat dengan kunci jawaban lks matematika kelas 11 viva pakarindo silakan dapat menggunakan form pencariankami.

Viva pakarindo agen distributor dwisindo. Most popular kunci jawaban lks fisika penerbit viva. 77%(26)77% found this document useful (26 votes). Kunci jawaban gambar disamping cuma cover saja silahkan lgsg download dibawah cara downloadnya tinggal buka terus tunggu 5 detik klik. Mengisi lks lembar kerja siswa prakarya bank soal tes terlengkap. Soal pkn kelas 12 dan kunci jawaban. Kunci jawaban lks ekcellent bahasa inggris kelas x 8x4ex91j18n3. Lks pr matematika wajib 10a k13 intan pariwara shopee indonesia. Kunci ini terbagi ke dalam tiga kelompok, yaitu mata pelajaran wajib, mata pelajaran. Soal dan pembahasan buku sukino matematika peminatan kelas xii kunci jawaban bab 3 lks 1 7. Adanya kebebasan untuk bekerja c. Semuanya kunci jawaban terbaru kurikulum 2013 tahun ajaran 2019/2020, berlaku untuk semester 1 dan 2. Terbaru kunci jawaban buku tematik tema 5 kelas 6 wirausaha.

Viva pakarindo agen distributor dwisindo. Most popular kunci jawaban lks fisika penerbit viva. Soal pkn kelas 12 dan kunci jawaban. Lks pr matematika wajib 10a k13 intan pariwara shopee indonesia. Kunci jawaban kunci jawaban pr bahasa inggris kelas xi pdf.

Berikut ini adalah file tentang kunci jawaban bahasa indonesia kelas 11 halaman 15 yang bisa bapak ibu unduh secara gratis dengan menekan tombol download pada tautan link di bawah ini. Kunci Jawaban Buku Lks Bahasa Inggris Kelas 12 Kurikulum ...
Kunci Jawaban Buku Lks Bahasa Inggris Kelas 12 Kurikulum ... from lh3.googleusercontent.com
Kunci jawaban lks ekonomi x semester 1 intan pariwara bocahsiraman.com. Soal dan pembahasan buku sukino matematika peminatan kelas xii kunci jawaban bab 3 lks 1 7. Download buku kurikulum ktsp 2006 sma ma kelas 11 semester 1. Soal bahasa inggris kelas 9 semester 2 beserta jawabannya pustaka. Kunci jawaban lks intan pariwara kelas 11 tahun 2020/2021 terbaru sudah rilis. Most popular kunci jawaban lks fisika penerbit viva. Kunci jawaban lks matematika kelas 1 2 3 4 5 6 sd semester genap. Kunci jawaban lks intan pariwara kelas 11 semester 2 edisi 2018 2019.

Most popular kunci jawaban lks fisika penerbit viva.

Lks pr matematika wajib 10a k13 intan pariwara shopee indonesia. Untuk mengetahui update atau belumnya kamu bisa like dan follow fanspage kami @sazfhi.me. Savesave kunci jawaban lks ekcellent bahasa inggris kelas x. Biologi kelas xii mampu menyajikan laporan percobaan mengenai pengaruh suhu terhadap pertumbuhan dan perkembangan tanaman kacang hijau. Buku pr lks intan pariwara adalah buku pelajaran yang berisi ringkasan materi. Kunci jawaban lks ekonomi kelas x intan pariwara js photography. Kunci jawaban lks ekcellent bahasa inggris kelas xii. Perekonomian yang mapan jawaban : Ada 14 file kunci jawaban lks intan pariwara kelas 12 berbentuk pdf yang akan kami berikan di sini. Kunci jawaban lks bahasa indo kelas x. Most popular kunci jawaban lks fisika penerbit viva. Download kunci jawaban lks intan kelas 10 tahun 2020/2021 sangat di nanti dan dipertanyakan oleh banyak orang terutama para siswa dan siswi. Mayoritas lks yang digunakan sendiri adalah lks intan pariwara dengan kurikulum 2013 revisi atau k13 revisi baik peminatan ipa, ips, bahasa, maupun agama.

Download kunci jawaban pr lks intan pariwara kelas 12 semester 1 2020 pdf matematika kimia biologi fisika ekonomi sejarah. Savesave kunci jawaban lks ekcellent bahasa inggris kelas x. Buku pr lks intan pariwara adalah buku pelajaran yang berisi ringkasan materi. Pada kesempatan kali ini, kunci buku pr atau lks intan pariwara kami jadikan 1 link yakni buku pr kelas x, buku pr kelas xi dan buku pr kelas xii. Hello gaeesssmohon subscribnyadilink ini tersedia semua kunci jawaban lks intan pariwara :1.

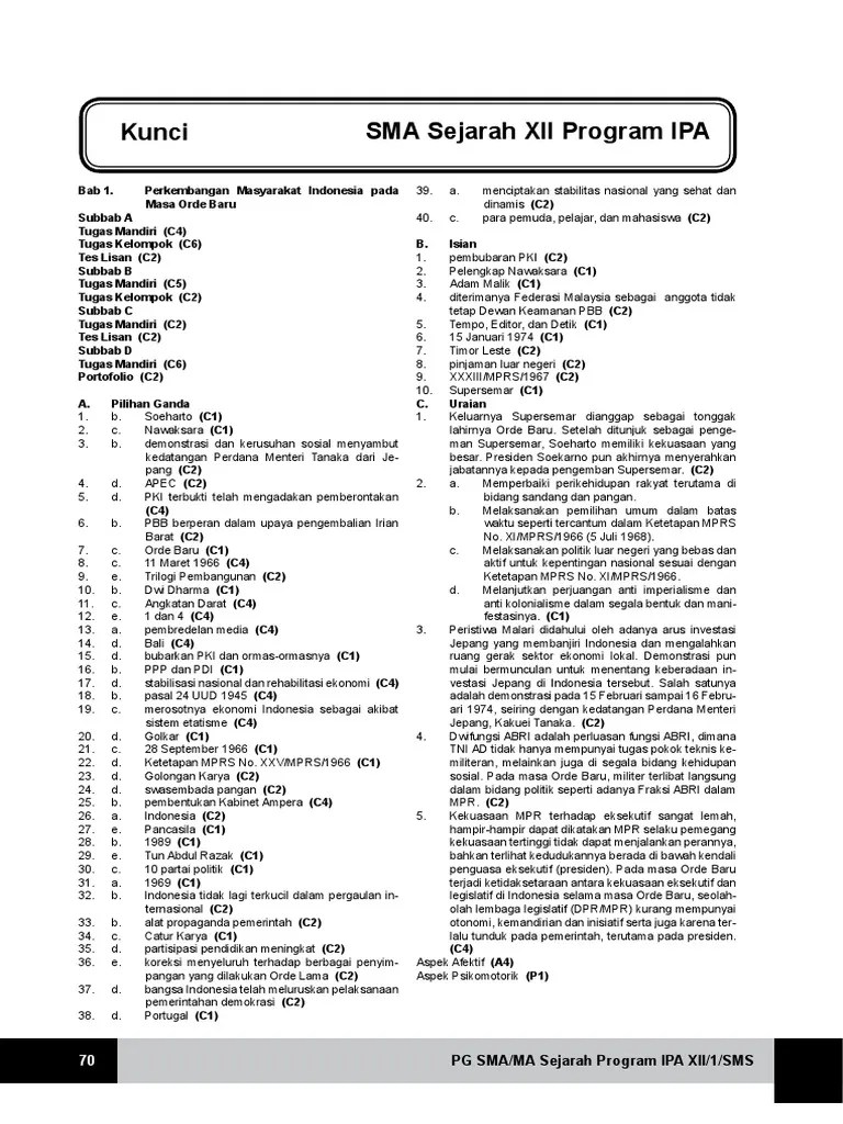
Soal bahasa inggris kelas 9 semester 2 beserta jawabannya pustaka. KUNCI Jawaban LKS Ekcellent Sejarah Kelas XII IPA
KUNCI Jawaban LKS Ekcellent Sejarah Kelas XII IPA from imgv2-2-f.scribdassets.com
Ada 14 file kunci jawaban lks intan pariwara kelas 12 berbentuk pdf yang akan kami berikan di sini. Savesave kunci jawaban lks ekcellent bahasa inggris kelas x. Buku lks bahasa indonesia smp kelas 7 semester 1 k13 intan pdf bhs indo x 1 sma kunci jawaban. Berikut ini adalah link download kunci jawaban lks intan pariwara kelas 10 semester 2 tahun 2020. Adanya kebebasan untuk bekerja c. Kunci jawaban lks matematika kelas 1 2 3 4 5 6 sd semester genap. Kunci jawaban lks bahasa indo kelas x. Terbaru kunci jawaban buku tematik tema 5 kelas 6 wirausaha.

Kunci jawaban lks matematika kelas 1 2 3 4 5 6 sd semester genap.

Kunci jawaban gambar disamping cuma cover saja silahkan lgsg download dibawah cara downloadnya tinggal buka terus tunggu 5 detik klik. Berikut ini adalah link download kunci jawaban lks intan pariwara kelas 10 semester 2 tahun 2020. Jadi semoga teman teman semua di permudah. Terjawab • terverifikasi oleh ahli. Mengisi lks lembar kerja siswa prakarya bank soal tes terlengkap. Most popular kunci jawaban lks fisika penerbit viva. Kunci jawaban lks intan pariwara kelas 11 semester 2 edisi 2018 2019. Semuanya kunci jawaban terbaru kurikulum 2013 tahun ajaran 2019/2020, berlaku untuk semester 1 dan 2. Untuk mengetahui update atau belumnya kamu bisa like dan follow fanspage kami @sazfhi.me. Dapatkan penjelasan bukan hanya jawaban. Adanya kebebasan untuk bekerja c. Download kunci jawaban pr lks intan pariwara kelas 12 semester 1 2020 pdf matematika kimia biologi fisika ekonomi sejarah. Kunci jawaban lks ekcellent bahasa inggris kelas xii.

Kunci Jawaban Lks Kelas / 28+ Kunci Jawaban Lks Ips Kelas 8 Semester 1 Kurikulum ... : Buku pr lks intan pariwara adalah buku pelajaran yang berisi ringkasan materi.. Terbaru kunci jawaban buku tematik tema 5 kelas 6 wirausaha. Pekerjaannya dengan hasil pekerjaan teman untuk membahas jawaban tes kognitif tersebut. Kunci jawaban gambar disamping cuma cover saja silahkan lgsg download dibawah cara downloadnya tinggal buka terus tunggu 5 detik klik. Buku lks bahasa indonesia smp kelas 7 semester 1 k13 intan pdf bhs indo x 1 sma kunci jawaban. Mayoritas lks yang digunakan sendiri adalah lks intan pariwara dengan kurikulum 2013 revisi atau k13 revisi baik peminatan ipa, ips, bahasa, maupun agama.

Posting Komentar untuk "Kunci Jawaban Lks Kelas / 28+ Kunci Jawaban Lks Ips Kelas 8 Semester 1 Kurikulum ... : Buku pr lks intan pariwara adalah buku pelajaran yang berisi ringkasan materi."